- 電工電子電氣實訓設備
- 電力電子電機實訓裝置
- 過程控制實驗裝置
- 工業機器人智能制造
- 維修電工實訓設備
- PLC自動化實訓設備
- 數控機床實訓考核裝置
- 數控機床機械加工設備
- 機床電氣實訓裝置
- 機電一體化實訓設備
- 機械示教陳列柜
- 機械專業實驗設備
- 傳感器檢測實驗室設備
- 工業互聯人工智能實訓設備
- 特種作業操作實訓考核設備
- 物聯網實驗實訓設備
- 消防、給排水實訓設備
- 網絡布線實訓室設備
- 電梯安裝維修實訓考核設備
- 熱工暖通家電制冷實訓設備
- 樓宇智能化實訓設備
- 環境工程實驗裝置
- 流體力學實驗裝置
- 化工專業實驗實訓設備
- 新能源實驗實訓設備
- 電力供配電實訓設備
- 煤礦礦山實驗實訓設備
- 液壓氣動實驗室設備
- 教學仿真軟件
- 軌道交通實驗實訓設備
- 船舶實訓考核裝置
- 駕駛模擬訓練設備
- 新能源汽車實訓設備
- 汽車發動機底盤實訓臺
- 汽車電器電子實訓臺
- 特種車工程機械實訓設備
- 智能網聯汽車實訓設備
- 醫學教學模型
- 中小學實驗室設備
- 實驗箱.實驗儀
- 光電子通信實驗裝置
- 儀器設備.教學掛圖
- LG-DQ04型 電氣自動化技術考核實訓裝置
- LGKL-735D型 通用電工電子實訓設備(電工電子電氣數
- LG-BZH015型 光纜交接箱工程布線光電展示實訓裝置
- LG-BZH014型 數據中心工程布線光電展示實訓裝置
- LG-BZH013型 光纖熔接實訓設備
- LG-BZH012型 全光網綜合布線實訓平臺
- LG-BZH011型 網絡綜合布線故障模擬與檢測實訓裝置
- LG-BZH010型 網絡綜合布線故障模擬與檢測實訓裝置
- LG-BZH09型 光纜配線端接與測試實訓裝置
- LG-BZH08型 光纜配線端接與測試實訓裝置
- LG-BZH07型 銅纜配線端接與測試實訓裝置
- LG-BZH06型 銅纜配線端接與測試實訓裝置
- LG-DST02型 智能制造單元理實一體化平臺
- LGP-LC01型 PLC實驗臺
- LGY-LY020型 運動控制實訓裝置
- 汽車透明整車模型、運輸車輛模型
- CLG-104型《電機與變壓器》示教陳列柜(CD解說)
- CLG-109《模具》示教陳列柜(CD解說)
- CLG-107型 機械綜合陳列柜
- CLG-102型 《機械零件》示教陳列柜
- LG-DCC型 機械振打袋式除塵實驗裝置
- LG-MFL01型 超濾微濾膜分離實驗裝置
- LG-NKS型 催化劑顆粒內擴散實驗裝置
- LG-CLDF型 多釜串聯實驗裝置
- LG-YY18C型 氣動與PLC實訓裝置(T型鋁槽單面)
- LG-YY18B型 透明液壓傳動與PLC實訓裝置(T型鋁槽單面
- LG-YYCS01型 液壓傳動與控制綜合測試實驗臺
- LG-DY01B型 電液比例綜合實驗臺
- LG-YYZN01型 智能型液壓綜合實驗臺
- LG-DLK01型 電力系統綜合自動化實驗平臺
雙饋異步風力發電實驗系統
一、產品概述
雙饋異步風力發電實驗系統由雙饋異步發電機組、控制屏、變流器柜、大功率三相自耦調壓器、監控軟件六部分組成。
雙饋異步風力發電實驗系統采用直流電動機來模擬風力機,通過風電上位機軟件,監控PLC來控制直流調速器,通過改變直流電動機電樞繞組端電壓來模擬自然狀態下風速的變化,實現輸出功率(轉矩)的控制,完成風力機的模擬控制。

圖1 雙饋異步風力發電實驗系統參考圖片(結構可以根據用戶要求改動)
工業PC采用力控組態軟件經PLC可編程控制器通過RS-485/USS協議與調速器通信,調速器將機組轉速信號、電樞電流、電壓信號等信號上傳,監控軟件根據調速器上傳的信號以及虛擬風速信號,通過數字化的典型風力機特性曲線,計算出風力機的輸出功率或轉矩,并將其作為直流電動機的控制指令通過RS485下置作為調速器的給定端加以執行,由數字直流調速器驅動直流電動機。其中系統監控管理主要是對系統各智能控制裝置的數據采集與監視控制,實現風電SCADA。
發電機采用雙饋異步發電機,變流器控制部分采用DSP處理器;功率部分采用雙向背靠背PWM變流器模塊。電網則采用9kVA調壓器來模擬。
二、技術方案
在風力發電技術中,大型變速恒頻風力發電技術已經成為其主要發展方向之一。其中,交流勵磁雙饋電機發電是一種比較優化的控制方案。它是通過在雙饋發電機的轉子側施加三相交流電源進行勵磁,調節勵磁電流的幅值、頻率和相位,實現定子側輸出電量的控制。

圖2 技術方案參考圖片
雙饋異步發電機在結構上類似繞線式異步感應電機,定子與一般的交流電機一樣也有三相分布式繞組;轉子與一般電機不同,它也有三相分布式繞組。運行時定子側直接接入工頻的三相電網,轉子側通過變頻器接入所需的低頻電流。因為定子與轉子側都有能量的流動,所以稱為雙饋電機。也可以稱為交流勵磁電機,因為轉子是通過變頻器接入的低頻電流勵磁的。
根據變速恒頻雙饋風力發電系統對交流勵磁電源的要求,針對目前適合用作交流勵磁電源的變流器進行詳細深入的比較分析,認為在目前的電力電子技術條件下,兩電平電壓型雙PWM變流器是可用作變速恒頻雙饋風力發電機交流勵磁電源*具優勢的一種變流器。
兩電平電壓型雙PWM變流器是由兩個完全相同的兩電平電壓型三相PWM變流器通過直流母線連接而成,如圖3所示,其英文名稱為Back-to-Back PWM Converter。由于在變速恒頻交流勵磁雙饋風力發電系統的運行過程中,兩個PWM變流器的工作狀態經常變換,通常不再以它們工作于整流或逆變的狀態來區分它們,而是按照它們的位置分別稱之為網側PWM變流器和轉子側即機側PWM變流器。

圖3 兩電平電壓型雙PWM變流器拓撲結構框圖
在具體的運行控制過程中,這兩個PWM變流器各司其職。其中,網側變流器的任務主要有兩個,一是保證其良好的輸入特性,即輸入電流的波形接近正弦,諧波含量少,功率因數符合要求,理論上網側PWM變流器可獲得任意可調的功率因數,這就為整個系統的功率因數的控制提供了另一個途徑;二是保證直流母線電壓的穩定,直流母線電壓的穩定是兩個PWM變流器正常工作的前提,是通過對輸入電流的有效控制來實現的。
轉子側變流器的作用主要有兩個方面,一是給DFIG的轉子提供勵磁分量的電流,從而可以調節DFIG定子側所發出的無功功率;二是通過控制DFIG轉子轉矩分量的電流控制DFIG的轉速或控制DFIG定子側所發出的有功功率,從而使DFIG運行在風力機的*佳功率曲線上,實現*大風能追蹤(捕獲)運行。

圖4- 雙饋電機的工作示意圖
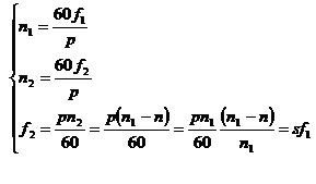
若將雙饋電機的定子接入電網上,則定子側的電流頻率可以認為是不變的,由此可以通過檢測轉子的轉速來確定轉子繞組通過變頻器提供勵磁電流的頻率
,由電機原理可以得出以下關系式:

(1)(其中當
,電機處于亞同步時取正號,
,電機處于超同步時取負號)。其中:
為電網頻率,
為轉子勵磁電流頻率,
為電機極對數,
為轉差率。
由式(1)可以看出,當發電機轉速
變化時,若控制轉子電流頻率
相應變化,可使定子電流頻率
恒定不變且與電網頻率保持一致,從而實現了轉速變化時輸出電能的“恒頻”控制。
三、實驗平臺的技術性能﹑指標及配備
1. 技術性能
1.1輸入電壓:三相四線~380V±10% 50Hz
1.2裝置容量:<15.0kVA
2. 裝置構成及各主要元件性能指標
包括雙饋異步風力發電機組、風力機控制柜、雙饋變流器柜、大功率三相自耦調壓器、監控軟件六個部分。
2.1雙饋異步風力發電機組
發電機組由直流電動機、雙饋異步風力發電機、轉速傳感器、機組固定底盤及配套件等構成。
2.1.1直流電動機
Ø 額定電樞電壓:DC440V
Ø 額定功率:4kW
Ø 額定轉速:1500r/min
2.1.2直流調速器
采用功能強大的西門子6RA70型數字四象限直流調速器作為原動機的驅動裝置。在風力發電實訓中,為原動機提供電源。額定參數如下:
Ø *大輸出功率:6.3kW
Ø 額定電樞電流:15A
Ø 額定電樞電壓:420V
Ø 額定勵磁電流:3A
Ø 額定勵磁電壓:325V
Ø 通訊口:RS485/232,支持 USS通訊協議
2.1.3雙饋異步發電機
Ø 額定功率:3kW
Ø 額定定子電壓:AC380V(線電壓)
Ø 轉子開路電壓:AC600V
Ø 同步轉速:1500r/min
Ø 轉速率調節范圍:±25%
2.1.4機組固定底座及配套件
參考圖5,機組底座采用整體翻砂件,表面平整度高,直流電動機與雙饋發電機采用橡膠連軸器軟連接,為保護學生安全,配有防護罩。底座裝設帶減震功能的支撐腳,為方便機組移動裝設方向輪1只、定向輪兩只。

圖5 機組參考圖片
2.2仿真器:
適配TMS320F2812。
2.3模擬表頭
采用國標6L2系列表頭,含原動機電樞電壓表、原動機電樞電流表、系統進線電壓表,配三相線電壓切換顯示開關。
2.4雙饋變流器柜
變流器柜含雙饋變流器主回路和控制系統。變流器柜的主回路及控制回路構成了雙饋變流器,雙饋變流器主要由機側控制器及網側控制器兩部分組成。
機側控制器的作用主要有兩個方面,一是給雙饋發電機的轉子提供勵磁分量的電流,從而可以調節雙饋發電機的定子側所發出的無功功率;二是通過控制雙饋發電機轉子轉矩分量的電流控制發電機的轉速或控制發電機定子側所發出的有功功率,從而使發電機運行在風力機的*佳功率曲線上,實現*大風能追蹤(捕獲)運行。機側控制器面板安裝有兩個信號指示燈,16鍵PVC軟鍵盤,240*128點蘭色液晶屏及9個波形測試端子。信號指示燈可對控制器工作、保護狀態分別指示;鍵盤可完成機側控制器啟動/停止設置,*大功率啟動/停止跟蹤設置,有功/無功給定,手動并網/離網;液晶屏可顯示轉速反饋值,有功/無功反饋值;波形測試端子可通過示波器觀測發電機機轉子、定子相電流波形,可觀測發電機定子相電壓、電網相電壓波形。

參考圖片
Ø 濾波形式:L
Ø 控制芯片:TMS320F2812,留有JTAG口
Ø 采集信號:定子三相電壓,轉子電流、定子電壓、電流
Ø 冷卻形式:強迫風冷
Ø 開關頻率:保證5k開關頻率下溫升不超相關國家和行業標準。
Ø 其他:具備并網開關、預充電、隔離開關、熔絲等必要裝置,并這些裝置具備有源節點或者干接點信號反饋功能。
網側控制器面板安裝有三個信號指示燈,16鍵PVC軟鍵盤,240*128點蘭色液晶屏及7個波形測試端子。信號指示燈可對控制器工作、故障、卸荷狀態分別給于指示,通過鍵盤可完成并網啟動/停止設置。液晶屏可完成三相電流,電壓有效值顯示,直流母線電壓顯示;面板觀測孔可觀測電網相電流波形、相電壓波形及直流母線電壓波形。

參考圖片
Ø 濾波形式:LCL或者LC,可選
Ø 額定電壓:380V
Ø 控制芯片:TMS320F2812,留有JTAG口
Ø 采集信號:網側三相電流,網側三相電壓,定子三相電壓,直流母線電壓,直流母線電流
Ø 冷卻形式:強迫風冷
Ø 開關頻率:保證5k開關頻率下溫升不超相關國家和行業標準。
Ø 其他:具備并網開關、預充電、隔離開關、熔絲等必要裝置,并這些裝置具備有源節點或者干接點信號反饋功能。
2.5智能電量監測儀
Ø 測量三相電流、三相相/線電壓、有功功率、無功功率、功率因數等電量
Ø 2-31次諧波測量
Ø 四象限電能計量:±有功電能(kWh),±無功電能(kVarh)
Ø 標準PT、CT輸入,適用于各種電壓等級及接線方式
Ø RS-485通訊接口,Modbus RTU通訊規約
2.6大功率三相自耦調壓器
額定容量:9kVA,原邊額定輸入三相AC380V,副邊額定輸出AC 0~430V可調。
3. 監控軟件

圖6 機側部分監控軟件

圖7 網側部分監控軟件
四、實驗項目
1. 雙饋異步風力發電系統接線實驗
2. 風力機特性離線仿真實驗
3. 雙饋異步發電機空載特性實驗
4. 空載并網實驗
5. 并網及功率輸送實驗
6. *大功率跟蹤實驗
7. 有功、無功解耦控制實驗
8. 電能質量分析實驗
- 上一篇:雙饋異步風力發電實驗系統
- 下一篇:氫氧燃料電池實驗裝置





